软件学习-HIBLUP

HIBLUP 是一个育种分析软件。

输入数据

HIBLUP 基本上所有输入文件都要求标题,下面就不再赘述这一点。

常规输入文件

  • 表型数据(--pheno):有标题第一列必须是个体号 (这样就不用特殊指定个体号是加性效应或显性效应了),缺失用NA
  • 系谱数据(--pedigree):有标题,缺失用NA
  • 基因型数据(--bfile):二进制格式,样本名称需要提前更改为个体号。

非常规输入文件

  • SNP权重文件:有标题,第一列是SNP名称,其它列是SNP权重(加性,显性,必须是正数,必须是加性在前显性在后,标题不重要)

    通过 --snp-weight 选项来使用这个文件,示例如下

    1
    2
    3
    4
    SNPid  weight
    SNP1 42
    SNP2 0.3
    SNP3 100
  • 群体分类文件:有标题,2列,第一列是样本名称,第二列是所属群体

    通过 --pop-class 选项来使用这个文件, 示例如下

    1
    2
    3
    4
    5
    6
    ID Breed
    Ind1 DD
    Ind2 YY
    Ind3 LL
    Ind4 YY
    Ind5 LL
  • 亲缘关系矩阵文件:二进制文件,举例为 demo.GA.iddemo.GA.bin ,其中 demo.GA.id是一列个体号,而 demo.GA.bin 是按照密集矩阵的方式存储的矩阵下三角元素的内容(一个元素接着一个元素,每个元素占4个字节,也就是单精度),而 demo.GA.sparse.bin 是按照稀疏矩阵方式存储的下三角矩阵的元素(行,列,值)。

    这个文件通过 --make-xrm 输出得到,通过 --xrm [prefix] 来使用,举例如下

    1
    ./hiblup ... --xrm demo.GA ...

    如果是多个亲缘关系矩阵,则用逗号隔开,如下

    1
    ./hiblup ... --xrm demo.GA,demo.GD ...
  • 估计育种值结果文件:第一列是个体号,其他列是加性或显性育种值(如果同时使用加性和显性效应,则必须满足加性在前,显性在后的顺序。HIBLUP 应该就是通过列号来判断是哪个效应,标题不重要)。

    通过 --gebv 来使用这个文件,举例如下

    1
    2
    3
    4
    id    add
    Ind1 -1.1345
    Ind2 0.3245
    Ind3 0.0234
  • SNP效应文件:SNP效应值用于预测个体的育种值,或者选配。至少需要5列。

    通过 --score 来使用这个文件,举例如下(同样是加性在前显性在后)

    1
    2
    3
    4
    SNPid  a1  a2  freq_a1 add       dom
    SNP1 A C 0.1243 0.30134 0.00000
    SNP2 G T 0.0345 -0.06324 0.00124
    SNP3 A G 0.3635 0.15425 -0.00913
  • GWAS结果文件(Summary data file):GWAS的结果文件,格式见 GCTA 软件的 COJO 格式

    通过 --sumstat 来使用这个文件,举例如下(其它不解释,这里NMISS应该是非缺失的样本数。这里A1必须是用于计数的碱基,即计算标记效应的碱基;同样“FREQ”必须是A1碱基的基因频率)。

    1
    2
    3
    4
    5
    6
    SNP A1 A2 FREQ BETA SE P NMISS
    M1 G T 0.5181 -1.565 1.155 0.1762 500
    M2 A G 0.145 -1.77 1.519 0.2445 500
    M3 G A 0.3206 1.498 1.583 0.3445 500
    M4 C G 0.5356 0.3366 1.003 0.7374 500
    M5 C G 0.0975 1.27 1.755 0.4695 500
  • 基因组窗口文件(Genome windows file):通过这个文件可以用于LD分析等。

    通过 --window-file 来使用这个文件,举例如下(注意窗口之间不能重叠)

    1
    2
    3
    4
    5
    6
    7
    8
    9
    10
    11
    chr    start    stop
    1 10583 1577084
    1 1577084 2364990
    1 2364990 3150345
    1 3150345 4284187
    1 4284187 4854314
    2 10133 341834
    2 341834 1161563
    2 1161563 1688845
    2 1688845 2829810
    2 2829810 3389305
  • 样本和位点过滤文件:一列样本名称或位点名称,无标题(注意这里没有标题)

    样本过滤通过 --keep--remove 来保留和剔除样本。

    位点过滤通过 --extract--exclude 来保留和剔除位点。

    其实这里就和 PLINK 一样。

基本选项

除了上面的输入文件之外,如 --pheno--pedigree--bfile 之外,还有一些描述因子和模型的基本选项如下。

  • --pheno-pos n1 n2 :指定性状所在列,如果是多列用空格隔开
  • --qcovar n1,n2: 指定协变量所在列(quantitative covariates),多列用逗号隔开
  • --dcovar n1,n2: 指定固定因子所在列 (discrete covariates),多列用逗号隔开
  • -rand n1,n2: 指定环境随机因子所在列,多列用逗号隔开

上面这种用逗号分隔开的写法是用于单性状模型的。对于多性状模型,此时要对所有性状的因子进行设定,使用逗号作为性状内因子的分隔符号,不同因子之间用空格隔开,0表示对于这个性状没有这类因子。

举个例子,下面是一个3性状模型,这里第1个性状有2个固定因子(2,3),第2个性状没有固定因子(0),第3个性状有3个固定因子(2,3,6)

1
./hiblup ... --dcovar 2,3 0 2,3,6 ...

其它选项

  • --threads 32 :设置多线程数目,如果不设置则会从 standard OpenMP environment variable 使用最大的线程数,并且使用所有可用资源来提高计算效率(和 beagle 一样)。

分析

构建亲缘关系矩阵

输出的亲缘关系矩阵有2种格式,密集矩阵形式和稀疏矩阵形式(具体见上面的”非常规输入文件“)。

A阵

构建 A 阵和A逆矩阵命令如下(--make-xrm --pedigree file --add --add-inv),会生成 demo.PA.bin, demo.PA.id, demo.PAinv.sparse.bin, demo.PAinv.sparse.id 。(对于HIBLUP而言,其分析只需要亲缘关系矩阵,逆矩阵是不需要的,所以可以不加 --add-inv

1
2
3
4
5
6
7
# construct A and its inverse simultaneously
./hiblup --make-xrm
--pedigree demo.ped
--add
--add-inv #wether to construct its inverse matrix
--thread 32
--out demo

因为 *.bin 是二进制文件,正常不能打开,如果想要阅读内容的话,可以添加一个参数 --write-txt ,就会输出文本文件。

有些时候可能会遇到矩阵不可逆的报错,如下,原因是矩阵非正定,此时可以通过对 --ridge-value 指定一个很小的数通过岭回归的方式来解决(就是对对角线添加一个很小的数)。

1
Error: matrix is not invertible,…

Ga 和 Gd矩阵

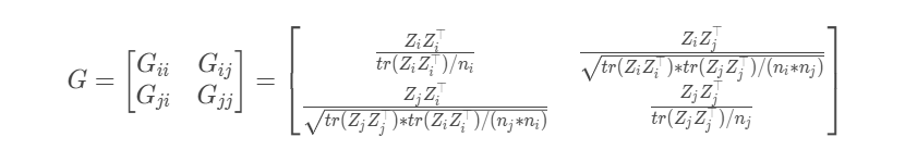
构建G阵的算法

HIBLUP 计算G阵的公式如下,其中 是矩阵的迹。

矩阵每一行是一个样本,每一列是一个位点的基因型编码。在 HIBLUP 中,我们有4种方式来构建加性效应和显性效应的 矩阵 ,如下表

其中 等是基因频率,而 等是基因型频率。

使用 --code-method n 来选择使用那种基因型编码方式,4中基因型编码方式的参考文献见下

  • –code-method 1, (default) Su, Guosheng, et al. “Estimating additive and non-additive genetic variances and predicting genetic merits using genome-wide dense single nucleotide polymorphism markers.” Plos one (2012): e45293.
  • –code-method 2, Zeng, Zhao-Bang, Tao Wang, and Wei Zou. “Modeling quantitative trait loci and interpretation of models.” Genetics 169.3 (2005): 1711-1725.
  • –code-method 3, Yang, Jian, et al. “Common SNPs explain a large proportion of the heritability for human height.” Nature genetics 42.7 (2010): 565-569.
  • –code-method 4, Vitezica, Zulma G., et al. “Orthogonal estimates of variances for additive, dominance, and epistatic effects in populations.” Genetics 206.3 (2017): 1297-1307.

构建G阵

构建 G 阵的命令如下(答疑说--step是用来控制内存使用的,值越小内存使用越小,但是还是没有说清楚),这里就是使用基因型数据替换了系谱数据

1
2
3
4
5
6
7
8
# construct A and D simultaneously
./hiblup --make-xrm --code-method 2
--bfile demo
--add --dom
--step 10000
--thread 32
--out demo
#--write-txt #to output a readable ".txt" file

这个命令会生成 demo.GA.bin, demo.GA.id, demo.GD.bin, demo.GD.id

如果需要生成逆矩阵,可以添加选项 --add-inv--dom-inv

多个群体的G阵

对于多个群体(如多个品种)的基因型数据,HIBLUP 可以构建一个混合的G阵,公式如下

其中 是每个群体用它自身的等位基因频率计算得到的矩阵(因为每个群体的基因频率不同), 是每个群体的样本数目。

运行命令如下,单纯就是增加了一个 --pop-class 选项,即群体分类文件。

1
2
3
4
5
6
7
# construct mixed GRM
./hiblup --make-xrm --code-method 1
--bfile demo
--pop-class demo.popclass.txt
--step 10000
--thread 32
--out demo

加权G阵

命令如下,增加一个SNP权重文件

1
2
3
4
5
6
./hiblup --make-xrm --code-method 1
--bfile demo
--add --dom
--snp-weight snp.wt.txt
--thread 32
--out demo

H 阵

H 矩阵构建公式如下,这个公式就是经典公式。

这里我们对 按照非基因型个体在前, 有基因型在后的顺序排列,并且划分为 4 个子矩阵。其中 是 A 矩阵中对于非基因型个体和基因型个体的子矩阵,而 是另外2个分块子矩阵。

这里有一点和 blupf90 不一样,blupf90 是先 blending (A 阵和 原始G 阵的权重比例) ,再 tuning (使得 A 阵和 G阵的取值范围相同),这里相反。

首先这里是对原始 G 阵调整元素取值范围,使得其对角线元素均值和非对角线均值与 A阵相同,得到 矩阵(tuning)。然后设置 G 阵和 A 阵的比例,公式如下,得到 ,最后就是计算 H 阵。

命令如下,这里就是同时使用系谱和基因型数据即可。得到文件 demo.HA.bin, demo.HA.id, demo.HD.bin, demo.HD.id

1
2
3
4
5
6
./hiblup --make-xrm 
--pedigree demo.ped
--bfile demo
--alpha 0.05
--add --dom
--out demo

同样这里使用 --snp-weight 可以构建加权 G 矩阵,或者使用 --pop-class 可以构建混合G矩阵,然后再用于构建 H 矩阵。

但是这里你可以提前构建好的 G 阵来构建 H 阵,这里 G 阵文件必须是二进制格式,命令如下

1
2
3
4
5
6
./hiblup --make-xrm 
--pedigree demo.ped
--xrm yourGRM # yourGRM.bin, yourGRM.id
--alpha 0.05
--add # or '--dom' is supported
--out demo

同样,你可以用 --add-inv--dom-inv 计算H矩阵的逆矩阵,得到 demo.HAinv.sparse.bin, demo.HAinv.sparse.id, demo.HDinv.sparse.bin, demo.HD.sparse.id

环境随机因子的亲缘关系矩阵

此时需要提供表型文件,命令如下(正常环境随机因子的亲缘关系矩阵不是单位矩阵嘛)

1
2
3
4
./hiblup --make-xrm
--pheno demo.phe
--rand 6,7
--out demo

输出 demo.loc.sparse.bin, demo.lco.sparse.id, demo.dam.sparse.bin, demo.dam.sparse.id

备注

HIBLUP 生成的密集矩阵格式的亲缘关系矩阵文件,均可以处理后直接被 GCTA, LDAK 使用,处理过程如下

1
2
3
4
awk '{print $1,$1}' demo.GA.id > gcta.grm.id
cp demo.GA.bin gcta.grm.bin
# then use it by GCTA
./gcta64 ... --grm gcta ...

但是 GCTA, LDAK 生成的亲缘关系矩阵文件可以直接被 HIBLUP 使用,而不用转换格式。

文件格式转换

亲缘关系矩阵,从二进制文件格式转为文本文件格式,命令如下

1
2
3
4
./hiblup --trans-xrm 
--xrm demo.GA
--out demo
# --triangle

输出 demo.txtdemo.id.txt ,这里 demo.txt 就是矩阵文本格式,以3个个体为例,其内容如下

1
2
3
1.55755    1.04847    0.64622
1.04847 1.58144 0.66971
0.64622 0.66971 1.56794

如果添加选项 --triangle ,那么会输出下三角矩阵的的三元组格式(稀疏矩阵格式),此时 demo.txt 内容如下

1
2
3
4
5
6
1    1    1.55755
2 1 1.04847
2 2 1.58144
3 1 0.646224
3 2 0.669715
3 3 1.56794

相反,将文本格式转为二进制格式命令如下

1
2
3
4
./hiblup --trans-xrm 
--xrm-txt demo.txt
--xrm-id demo.id.txt
--out demo

这里的 demo.txt 是矩阵格式,如果是三元组格式则需要加上选项 --triangle

注意:HIBLUP 可以直接将 GCTA, LDAK 生成的二进制格式转为文本格式。

近交系数和亲缘系数

通过 --ibc 获得近交系数,命令如下

1
2
3
4
5
6
7
8
9
# derived from pedigree
./hiblup --ibc --pedigree demo.ped --thread 32 --out demo
# or derived from prior calculated PA matrix
./hiblup --ibc --xrm demo.PA --out demo

# derived from genotype
./hiblup --ibc --bfile demo --thread 32 --out demo
# or derived from prior calculated GA matrix
./hiblup --ibc --xrm demo.GA --out demo

输出近交系数文件 demo.ibc

1
2
3
4
id        ibc
IND0702 0.00290048
IND0703 0.00262272
IND0704 0.00262272

通过 --rc 命令获得亲缘系数(从结果来看,亲缘系数就是对加性遗传相关做了处理后的),命令如下

这里基因型数据可以通过 --code-method 设置不同的构建G阵的方法。

1
2
3
4
5
6
7
8
9
# derived from pedigree
./hiblup --rc --pedigree demo.ped --thread 32 --out demo
# or derived from prior calculated PA matrix
./hiblup --rc --xrm demo.PA --out demo

# derived from genotype
./hiblup --rc --bfile demo --thread 32 --out demo
# or derived from prior calculated GA matrix
./hiblup --rc --xrm demo.GA --out demo

输出亲缘系数文件 demo.rc

1
2
3
4
5
id1     id2     rc
IND0701 IND0701 1
IND0701 IND0702 0.472652
IND0701 IND0703 0.0721178
IND0701 IND0704 0.0721178

PCA

通过基因型数据进行PCA分析如下, 可以使用 --npc n来控制输出主成分的数目,而不是所有主成分

1
./hiblup --pca --bfile demo --out demo

从G阵进行PCA分析

1
./hiblup --pca --xrm demo.GA --npc 5 --out demo

输出 demo.pc 文件如下,就是PCA主成分结果

1
2
3
4
5
id       PC1     PC2     PC3     PC4     PC5
IND0701 0.0413326 -0.00664808 -0.00795809 0.0218009 -0.0156735
IND0702 0.00856316 0.0378125 0.000503819 0.0205049 0.00972465
IND0703 -0.00793242 0.0458023 -0.00438572 -0.0173733 -0.0254701
IND0704 -0.00793248 0.0458023 -0.00438575 -0.0173733 -0.0254701

输出 demo.pcp 如下,包含了解释方差的比例和累积比例

1
2
3
4
Components      PC1     PC2     PC3     PC4     PC5
Standard deviation 4.23976 4.10211 3.76024 3.66821 3.60725
Proportion of Variance 0.0224695 0.0210342 0.0176743 0.0168197 0.0162653
Cumulative Proportion 0.0224695 0.0435037 0.0611779 0.0779976 0.094263

估计方差组分-单性状模型

命令

命令如下,这里都有相应注释,不再解释。

这里默认就是会估计方差组分的。

1
2
3
4
5
6
7
8
9
10
11
./hiblup --single-trait
--pheno demo.phe
--pheno-pos 8
--dcovar 2,3 #fixed effect
--qcovar 4,5 #covariates
--rand 6,7 #non-genetic (environmental) random effect
--pedigree demo.ped #genetic random effect
--bfile demo #genetic random effect
--add --dom
--threads 32
--out demo

这里有 5 种可选的估计方差组分的算法,如下,你可以通过 --vc-method 来选择其中一种方法,并且通过 --ai-maxit--em-maxit 来设置 AIREML 和 EMREML 算法的最大迭代次数。

对于 HE 算法,如果模型中存在协变量,HIBLUP 会先使用表型对这些协变量做回归,再用得到的残差执行 HE 算法。

  • AI
  • EM
  • HE : He regression
  • EMAI : 这里没有解释这种方法
  • HI : 即 HE + AI ,将 HE 的估计值作为 AIREML 的初始值

但是对于多个性状而言,每次都重复构建 H 阵或 G阵可能比较耗时,此时我们可以只构建一次 G阵,然后使用 --xrm 命令来使用G阵文件(替换 --bfile ),得到相同的结果。

举例如下

1
2
3
4
5
6
7
8
9
10
11
12
13
14
15
16
17
18
# Step 1: construct XRMs
./hiblup --make-xrm
--pedigree demo.ped
--bfile demo
--add --dom
--out demo

# Step 2: link XRMs to fit model
./hiblup --single-trait
--pheno demo.phe
--pheno-pos 8
--dcovar 2,3
--qcovar 4,5
--rand 6,7
--xrm demo.HA,demo.HD
--add --dom
--threads 32
--out demo

我们也可以通过 --vc-priors 来提供方差组分初始值来加快收敛,具体使用方式见下面”遗传评估-已知方差组分“部分。

结果文件

demo.vars : 方差和每个方差组分的”遗传力“

1
2
3
4
5
6
    Var    Var_SE    h2    h2_SE
loc 12.2127 8.9109 0.1035 0.0682
dam 10.6268 4.8605 0.0901 0.041
HA 59.2007 11.7641 0.5019 0.0807
HD 28.9946 8.9294 0.2458 0.083
e 6.9232 1.6957 0.0587 0.0161

demo.beta : 固定因子和协变量的估计值

1
2
3
4
5
6
7
8
9
10
Levels    Estimation    SE
mu 32.5285 3.4758
sex_F 6.2933 1.7593
sex_M 26.2353 1.7634
season_Autumn 18.0905 0.9753
season_Spring -1.9168 0.9904
season_Summer 7.8471 1.0066
season_Winter 8.5078 0.9944
day 0.1547 0.0574
bornweight 1.5703 0.4614

demo.anova : 所有固定因子和协变量的方差分析的表格

1
2
3
4
5
6
Factors    Df    SumSq    MeanSq    F    Pr(>F)
sex 1 49710.3845 49710.3845 7180.311 <2e-16
season 3 24515.0941 8171.698 1180.344 <2e-16
day 1 925.3352 925.3352 133.658 <2e-16
bornweight 1 437.3432 437.3432 63.171 1.30E-14
e 493 3413.1141 6.9232

demo.rand : 随机因子的预测值(育种值会命名为 “PA”, “GA”, or “HA” 等)

单形状重复力模型

命令如下,没什么区别,就是增加一个 --rand 1 ,即将第一列作为环境随机因子而已,即永久环境效应。

1
2
3
4
5
6
7
./hiblup --single-trait 
--pheno demo.repeat.phe
--pheno-pos 2
--rand 1
--bfile demo
--threads 32
--out demo

注意:HIBLUP 软件估计方差组分时会使用表型数据的方差协方差矩阵,因此如果数据重复次数低(如1000个个体具有2000行数据,平均重复2次),此时 HIBLUP 会比 MME-based 软件更快。但是如果数据重复次数高(如200个个体具有2000行数据,平均重复10次),此时 MME-based 软件会更快。

估计方差组分-多性状模型

命令

这里 HIBLUP还支持2中情况:同一个群体的多个性状,或多个群体的同一个性状。而且支持不同性状具有完全不同的固定因子和随机因子。

以 GBLUP 为例,命令如下(这里性状内的因子用逗号分隔,性状间用空格分隔)

1
2
3
4
5
6
7
8
9
10
11
./hiblup --multi-trait
--pheno demo.phe
--pheno-pos 8 9 10
--qcovar 4,5 5 4
--dcovar 2,3 0 2
--rand 6,7 7 0
--xrm demo.GA,demo.GD # same with --bfile demo --add --dom
--vc-method AI
--ai-maxit 30
--threads 32
--out demo

默认情况下 HIBLUP 认为性状间的残差协方差存在,如果添加选项 --ignore-cove 可以将性状间的残差协方差视为不存在(看来这里没有更灵活的设置方式,只能都存在或都不存在)。

输出文件

demo.vars : 每个性状的方差

1
2
3
4
5
6
7
8
9
10
11
12
13
Item    Var    Var_SE    h2    h2_SE
tr1_loc 13.73854 9.9309 0.11739 0.07538
tr1_dam 2.29288 3.18932 0.01959 0.02731
tr1_demo.GA 61.35173 9.57171 0.52423 0.06964
tr1_demo.GD 29.93077 6.27996 0.25575 0.06022
tr1_e 9.71917 1.67088 0.08305 0.01696
tr2_dam 3.42172 3.80424 0.02971 0.03308
tr2_demo.GA 63.59 10.52058 0.55219 0.06017
tr2_demo.GD 38.14332 7.27491 0.33122 0.06696
tr2_e 10.00395 1.63578 0.08687 0.01578
tr3_demo.GA 21.03906 6.94184 0.2203 0.0668
tr3_demo.GD 15.25593 10.56861 0.15974 0.10919
tr3_e 59.20689 9.04084 0.61996 0.09801

demo.covars : 每个性状的遗传效应和残差的协方差,相关系数和SE

1
2
3
4
5
6
7
8
9
10
Item    COVar    COVar_SE    r    r_SE
tr1:tr2_demo.GA 46.6899 8.56852 0.747524 0.171364
tr1:tr3_demo.GA 16.3376 5.96333 0.454749 0.185599
tr2:tr3_demo.GA 12.3489 6.21401 0.337612 0.157671
tr1:tr2_demo.GD 26.9273 4.65452 0.796922 0
tr1:tr3_demo.GD -2.25039 4.95673 -0.105301 0.23413
tr2:tr3_demo.GD 8.23124 5.21494 0.341194 0.259133
tr1:tr2_e 0.24039 1.17428 0.024379 0.119333
tr1:tr3_e -1.10713 2.87487 -0.0461537 0.11985
tr2:tr3_e -4.80127 2.85341 -0.197284 0.128375

demo.*.anova : 同上

demo.*.beta: 同上

demo.*.rand: 同上

注意事项

  1. 用户可以通过--vc-priors--covc-priors 来设置方差和协方差的初始值,具体使用方式见下面”遗传评估-已知方差组分“部分。
  2. HIBLUP 不会估计环境因子的协方差组分(这是个缺陷啊,不清楚原因,我感觉HIBLUP也就是跑单性状合适)。如果一定要估计环境因子的协方差组分,可以通过 --make-xrm--xrm 的方式通过创建亲缘关系矩阵的方式来计算(还是不太懂)。

遗传评估-已知方差组分

命令

这里 HIBLUP 是--pheno-pos 中参数的数目自动判断性状数目的,因此不需要像上面那样特殊指定是单性状模型还是多性状模型(其实我感觉上面其实也不需要特殊指定啊)。

命令举例如下

1
2
3
4
5
6
7
8
9
10
11
12
13
14
15
16
17
18
19
20
21
22
23
24
# (1) additive effect for single trait model
./hiblup --mme
--pheno demo.phe
--pheno-pos 8
--rand 6
--xrm demo.GA # can be replaced by --bfile demo --add
--vc-priors v1,v2,v3
--pcg
--threads 32
--out demo

# (2) additive and dominant effect for multiple traits model
./hiblup --mme
--pheno demo.phe
--pheno-pos 8 9 10
--rand 6,7 7 0
--bfile demo # can be replaced by --xrm demo.GA,demo.GD
--add --dom
--vc-priors t1_v1,t1_v2,t1_v3,t1_v4,t1_v5 t2_v1,
t2_v2,t2_v3,t2_v4 t3_v1,t3_v2,t3_v3
--covc-priors cov1,cov2,cov3 cov4,cov5,cov6 cov7,cov8,cov9
--pcg
--threads 32
--out demo

默认情况下,HIBLUP 会直接计算 矩阵来求解,用户也可以通过添加 --pcg 改为使用 PCG 算法来求解。

方差

这里 --vc-priors 是方差部分,包括环境随机因子,加性方差,残差(必须按照这个顺序)。

单性状模型内容解释如下,性状内用逗号分隔

1
2
3
4
v1: the variance of the environmental random effect located
at the 6th column in phenotype file.
v2: the additive genetic variance.
v3: the residual variance.

多性状模型,方差组分是一个性状一个性状排列,性状内用逗号分隔,性状间用空格分隔,解释如下

1
2
3
4
5
6
7
8
9
10
11
12
13
14
15
t1_v1: the variance of the environmental random effect located 
at the 6th column in phenotype file for the first trait.
t1_v2: the variance of the environmental random effect located
at the 7th column in phenotype file for the first trait.
t1_v3: the variance of additive genetic effect for the first trait.
t1_v4: the variance of dominant genetic effect for the first trait.
t1_v5: the variance of residuals for the first trait.
t2_v1: the variance of the environmental random effect located
at the 7th column in phenotype file for the second trait.
t2_v2: the variance of additive genetic effect for the second trait.
t2_v3: the variance of dominant genetic effect for the second trait.
t2_v4: the variance of residuals for the second trait.
t3_v1: the variance of additive genetic effect for the third trait.
t3_v2: the variance of dominant genetic effect for the third trait.
t3_v3: the variance of residuals for the third trait.

协方差

协方差组分包括遗传效应残差 ,这里是按照性状的顺序进行排列,单个因子内使用逗号分隔,不同因子之间使用空格分隔,顺序如下图

因子间的互作

E by E

2个环境因子之间的互作效应使用 ”:“ 号表示,可以作为固定因子,也可以作为随机因子

作为固定因子示例如下,表示固定因子为 2 和 2:3:6 (3个因子之间的互作,这里互作效应应该就是将多列合并为一列)

1
./hiblup ... --dcovar 2,2:3:6

同理,作为随机因子示例如下

1
./hiblup ... --rand 6,6:7,7

多性状模型同理如下

1
./hiblup ... --dcovar 2:3 0 2,3,2:3 --rand 6 7,6:7 0

G by G

HIBLUP 可以拟合遗传效应之间的互作,如加性和显性,显性和显性等。用于互作的因子数目没有限制, 个遗传因子的互作效应可以通过下面的式子表示:

这里 是样本数, 是 Hadamard 积(对应元素乘积,两个矩阵的对应位置元素直接相乘), 是迹函数。

加入 G by G 效应的唯一做法是通过 --xrm 来使用不同的 G 阵,用冒号分隔,举例如下

1
2
3
4
5
6
# fit A by D only
./hiblup ... --xrm demo.GA:demo.GD
#fit A, D, and A by D
./hiblup ... --xrm demo.GA,demo.GD,demo.GA:demo.GD
#fit A by A, A by D and D by D simultaneously
./hiblup ... --xrm demo.GA:demo.GA,demo.GA:demo.GD,demo.GD:demo.GD

G by E

G by E 效应会作为随机因子加入到模型中,这里需要使用随机因子在表型中的列号,以及G阵前缀,并使用 --rand-gxe 选项。

对于单性状模型,在互作效应内部使用冒号,示例如下

1
2
3
4
./hiblup --single-trait ... --rand-gxe 6:demo.GA,6:demo.GD
#interaction among multiple effects
./hiblup --single-trait ... --rand-gxe 6:demo.GA:demo.GD
./hiblup --single-trait ... --rand-gxe 6:7:demo.GA

对于多性状模型,以3性状模型示例如下(0表示这个性状没有G by E效应,不同性状之间用空格分隔)

1
./hiblup --multi-traits ... --rand-gxe 6:demo.GA 6:demo.GA,7:demo.GA 0

可靠性和PEV

你可以通过添加 --r2 来计算可靠性,以单性状模型举例如下

1
2
3
4
5
6
7
8
9
10
./hiblup --single-trait
--pheno demo.phe
--pheno-pos 8
--dcovar 2,3 #fixed effect
--qcovar 4,5 #covariates
--rand 7 #non-genetic (environmental) random effect
--bfile demo #genetic random effect
--r2 #to calculate the reliability
--threads 32
--out demo

此时随机因子结果中会包含一些附加列,包括标准误,PEV ,R2(可靠性),举例如下

1
2
3
4
5
ID      dam       dam_SE   dam_PEV  dam_R2    GA        GA_SE    GA_PEV   GA_R2     residuals  residuals_SE residuals_PEV residuals_R2
IND1001 0.496645 3.75992 14.137 0.255863 6.66127 4.27597 18.2839 0.774767 -1.45194 3.18313 10.1323 0.55248
IND1002 0.496645 3.75992 14.137 0.255863 6.66127 4.27597 18.2839 0.774767 2.04383 3.17906 10.1064 0.553624
IND1003 0.674833 3.53678 12.5088 0.341566 2.08201 4.62091 21.3528 0.736963 -0.104053 4.14567 17.1866 0.24091
IND1004 0.674833 3.53678 12.5088 0.341566 -0.682836 4.70199 22.1087 0.727651 0.9083 4.17824 17.4577 0.228936

计算SNP效应

通过 --snp-effect 选项来计算SNP效应,正常做法举例如下

1
2
3
4
5
6
7
8
9
10
# compute additive SNP effect by SSGBLUP of single trait model
./hiblup --single-trait
--pheno demo.phe
--pheno-pos 8
--bfile demo
--pedigree demo.ped
--add
--snp-effect
--thread 32
--out demo

第二种方式,也可以从之前计算好的GEBV结果中来推导SNP效应值,举例如下

1
2
3
4
5
6
7
# compute dominant SNP effect
./hiblup --snp-effect
--gebv demo.gebv.d.txt
--bfile demo
--dom
--thread 32
--out demo

此时这里通过 --bfile 来构建G阵和计算SNP效应,因此为了节约时间使用 --xrm 选项提供 G 阵,示例如下

1
2
3
4
5
6
7
8
# compute additive and dominant SNP effect
./hiblup --snp-effect
--gebv demo.gebv.ad.txt
--bfile demo
--xrm demo.GA,demo.GD
--add --dom
--thread 32
--out demo

输出 demo.snpeff ,即 SNP 效应值。

注意:如果 GEBV 值是通过加权G阵计算得到的,此时必须添加SNP权重文件 --snp-weight

预测GEBV/PRS

HIBLUP 可以用之前计算好的SNP效应值和基因型数据来预测GEBV/PRS ,这和 PLINK 软件的 --score 一样,但是速度更快。

命令如下,通过 --score 命令输入SNP效应值文件

1
2
3
4
5
./hiblup --pred
--bfile demo #the binary genotype data
--score demo.snpeff #the pre-computed SNP effects
--threads 10
--out demo

默认情况下,HIBLUP 会按照加性效应的编码方式来编码基因型(如 0 1 2 for AA Aa aa;这里有一个疑问,到底要不要中心化,这里为什么没有中心化?)。用户可以通过添加 --dom 来按照显性效应来编码基因型数据(如 0 1 0 for AA Aa aa)。如果同时有加性和显性效应,则同时使用 --add--dom ,此时 SNP 效应文件中需要同时具有加性和显性效应。

输出 demo.bv 文件,内容如下,第一列是个体号,其它列是育种值或者说是PRS

1
2
3
4
5
6
7
id    trait1    trait2
Ind2 -0.305403 2.6644
Ind5 0.00897198 -1.36166
Ind11 0.392148 -0.653216
Ind17 0.00232218 -0.213599
Ind22 -0.359507 -2.12692
Ind45 -0.232806 0.269005

选配

这里其实使用计算一对候选亲本对其后代的预测基因组育种值。这里需要事先计算得到所有SNP的标记效应值,示例命令如下,就是增加一个选项 --mating

1
2
3
4
5
./hiblup --mating
--bfile demo
--score demo.snpeff
--thread 32
--out demo

输出文件 demo.mating ,内容如下,就是每一对候选亲本对的后代预测育种值。

1
2
3
4
5
6
sir      dam      g
Ind704 Ind710 -0.0675817
Ind704 Ind711 1.06056
Ind704 Ind712 2.00997
Ind704 Ind713 -0.0879987
Ind704 Ind714 -0.492576

注意事项:

  • 基因型文件和SNP效应值文件必须具有相同的 A1 和 A2 碱基(那就要求生成二进制数据格式的时候要按照 demo.snpeff 文件生成)。
  • demo.fam 中需要有清晰的性别信息(第5列,1=male; 2=female; other=unknown),如果个体没有性别信息会从这次分析中剔除。

LD

HIBLUP 支持基于碱基计数数据对一对SNP数据计算LD相关系数 ® ,命令如下

1
2
3
4
5
./hiblup --ld
--bfile demo
--window-bp 1e6
--threads 16
--out demo_ldm

会生成2个输出文件,demo_ldm.info, demo_ldm.bin ,这里由于二进制文件 *.bin 无法直接打开,因此可以通过添加参数 --write-txt 来输出 txt 文件。

可参数说明如下,感觉没啥用

  • --window-bp : 指定非重叠的窗口大小,默认1Mb,单位bp。
  • --window-num : 指定一个窗口内的SNP数目为一个固定值,此时窗口大小就不固定了(和--window-bp应该是二选一的关系)。
  • --window-geno : 将整个基因组视为一个窗口,此时内存和时间可能较长
  • --window-file : 指定一个基因组窗口文件,见”非常规输入文件“章节

LD scores

LD scores 定义为某个SNP与某个区域所有SNP的LD () 之和,这反应了这个SNP与其它SNP的连锁程度,这个值越高说明这个位点与其它位点的连锁程度越高。LD scores 通常用在 LD scores regression ,目的是估计性状的遗传力或性状间的遗传相关。

输入文件为基因型数据,命令如下

1
2
3
4
5
./hiblup --ldscore
--bfile demo
--window-bp 1000000
--threads 10
--out test

设置窗口的命令同上,输出文件 test.ldsc ,示例如下,分别为SNP名称,maf ,LD scores 。

1
2
3
4
5
6
7
8
9
10
11
12
id    maf    ldscore
M1 0.481875 1
M2 0.145 1
M3 0.320625 1
. . .
. . .
. . .
M991 0.089375 1.044
M992 0.11375 1.33231
M993 0.31875 1.2885
M994 0.103125 1
M995 0.115625 1

LD scores regression

估计遗传力

LD scores regression 用于估计性状遗传力 (Bulik-Sullivan, Po-Ru Loh, et al. 2015) 和估计遗传相关 (Bulik-Sullivan, Finucane, et al. 2015) 。

这里输入不需要基因型数据,只需要 GWAS 结果文件,通过参考面板计算得到的 LD scores 文件。

估计遗传力命令如下

1
2
3
4
./hiblup --ldreg
--sumstat demo.ma #the summary data
--lds demo.ldsc #the pre-computed LD scores
--out demo

这里GWAS 结果文件和 LD scores 文件中的SNP数目必须保持一致。

输出文件 demo.ldsr.h2,内容如下

1
2
Item    Intercept    Intercept_SE    h2    h2_SE    h2_Pval
demo 1.08285 0.011433 0.122826 0.00393122 2.71554e-214

这里 Intercept 与群体结构有关,越接近1说明群体越不分层。h2 是估计遗传力,h2_Pval 是遗传力卡方分布统计检验的p值。

估计遗传相关

估计遗传相关类似于估计遗传力,如果提供多个GWAS结果,HIBLUP 就会同时估计遗传力和遗传相关。

1
2
3
4
./hiblup --ldreg
--sumstat demo1.ma demo2.ma demo3.ma #the summary data of multiple traits, use space as separator
--lds demo.ldsc #the pre-computed LD scores
--out demo

此时输出2个文件,test.ldsr.h2 是遗传力结果,同上;test.ldsr.rg 是遗传相关结果,举例如下

1
2
3
4
Item    CovG    CovG_SE    Intercept    Intercept_SE    rG    rG_SE    rG_Pval
demo1:demo2 0.0252414 0.00716841 0.0166108 0.00819384 0.141956 0.0403148 0.000429607
demo1:demo3 0.0744506 0.00892225 0.102821 0.00671784 0.296832 0.0355727 7.15917e-17
demo2:demo3 0.262124 0.0340515 0.315166 0.0112682 0.608769 0.0790827 1.38348e-14

这里 CovG 是遗传协方差,rG 是遗传相关,rG_Pval 是遗传相关卡方检验的P值。

其它参数

其它可用参数如下

  • --M : 指定使用的SNP数目,默认情况下会按照 Bulik-Sullivan 建议的 MAF 大于等于5% 的SNP
  • --chisq-max : to specify the maximum threshold of X2 for the first step estimator of intercept, the default is 30.
  • --intercept-h2 : to constrain the intercept with a constant rather than estimating it from data for heritability estimation.
  • --intercept-gencov: to constrain the intercept with a constant rather than estimating it from data for genetic correlation estimation.

Summary levle BLUP (SBLUP)

SBLUP 模型是通过GWAS结果文件和 LD 矩阵文件来估计SNP标记效应。

使用基因型数据

第一种方式是直接使用基因型数据(而不是LD矩阵文件),命令如下

1
2
3
4
5
6
7
./hiblup --sblup
--sumstat demo.ma #the summary data
--bfile demo
--window-bp 1e6
--h2 0.3234
--threads 16
--out demo

这里 --h2 是性状遗传力,可以使用 REML 方法估计,也可以使用 LD scores regression 估计。

如果单个窗口的SNP数目很多,如超过10k,那么建议加上 --pcg选项来加速计算 SNP效应。

使用LD相关矩阵

使用LD相关矩阵更加直接,注意这里假设所有SNP服从哈温平衡 ,不然估计的SNP效应会有偏差。

命令如下

1
2
3
4
5
6
./hiblup --sblup
--sumstat demo.ma #the summary data
--ldm demo_ldm #the pre-computed LD correlation matrix
--h2 0.3234
--threads 10
--out demo

这里 --ldm 是 LD 相关矩阵文件(二进制文件),见 “LD” 章节。

输出文件

输出文件 demo.snpeff ,举例如下,最后一列就是估计的标记效应。

1
2
3
4
5
6
id a1 a2 freq_a1 demo
M1 A G 0.1285 -0.000963937
M2 T C 0.1285 -0.00108931
M3 A G 0.1062 0.00588629
M4 G A 0.1285 -0.00164344
M5 A C 0.2459 -0.00100206

MT-SBLUP

多性状 SBLUP 比单性状的预测准确性更高 (Robert, Zhihong, et al. 2018) 。

和上面一样也是有2种方式,但是这里我们只显示使用LD相关矩阵的做法,如下

1
2
3
4
5
6
7
8
./hiblup --sblup
--sumstat demo1.ma demo2.ma demo3.ma demo4.ma #the summary data, use space as separator
--ldm demo_ldm #the pre-computed LD correlation matrix
--h2 0.3234 0.1256 0.6345 0.3536
--rg 0.1336 0.5567 0.2345 0.8454 0.3446 0.4633
# --pcg #use PCG for fast computing
--threads 10
--out demo

这里遗传相关的输入顺序是按照下三角矩阵的顺序(如 1-2 1-3 1-4 2-3 2-4 3-4;这个顺序不对啊)

输出 demo.snpeff ,内容如下

1
2
3
4
5
6
id a1 a2 freq_a1 demo1 demo2 demo3 demo4
M1 A G 0.1285 -0.000963937 -0.000577569 -0.000792698 0.000175215
M2 T C 0.1285 -0.00108931 -0.000597102 -0.000825137 0.000177501
M3 A G 0.1062 0.00588629 0.00155157 0.00270818 0.000154987
M4 G A 0.1285 -0.00164344 -0.000557257 -0.000874613 0.000155528
M5 A C 0.2459 -0.00100206 -0.000456737 -0.000855748 -0.000422206

计算显著位点解释表型方差的比例(PVE)

在答疑部分,计算 the proportion of phenotypic variance explained (PVE) for significant SNPs ,这里 HIBLUP 建议是用显著位点和其它位点构建2个G阵,然后计算方差组分,代码如下

1
2
3
4
5
6
7
8
9
10
11
12
13
14
15
16
17
18
19
20
21
#step1: construct GRM1 using the significant SNPs
./hiblup --make-xrm
--bfile demo
--extract snp.txt
--out grm1
--threads 32 # grm1.GA.id, grm1.GA.bin will be generated
#step2: construct GRM2 using the SNPs excluding the significant SNPs
./hiblup --make-xrm
--bfile demo
--exclude snp.txt
--out grm2
--threads 32 # grm2.GA.id, grm2.GA.bin will be generated
#step3: compute the variance components for GRM1 and GRM2 by single trait model
./hiblup --single-trait
--pheno demo.phe
--pheno-pos X
--xrm grm1.GA,grm2.GA
--out vc
--threads 32
#step4: calculate the PVE for significant SNPs by following equation:
pve = V(grm1) / ( V(grm1)+V(grm2)+V(e) )

参考文献

  1. https://www.hiblup.com/tutorials
  • 版权声明: 本博客所有文章除特别声明外,著作权归作者所有。转载请注明出处!
  • Copyrights © 2019-2026 Vincere Zhou
  • 访问人数: | 浏览次数:

请我喝杯茶吧~

支付宝
微信